Localviernes, 15 de septiembre de 2023
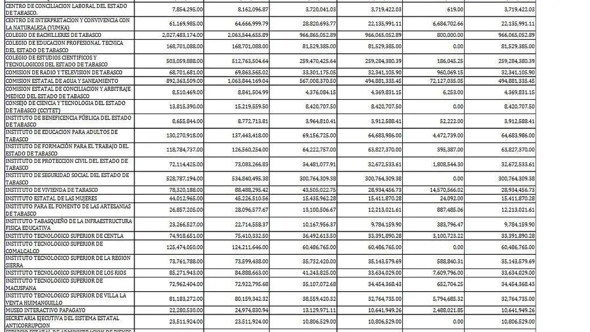
Dependencias de Tabasco han dejado de ejercer 3 mil mdp
Informes de la Secretaría de Finanzas revelan que al segundo trimestre del 2023, existe un subejercicio por 3 mil 40 mdp en más de 50 dependencias de Tabasco
Nicasio Arias / El Heraldo de Tabasco
Recibe a partir de ahora las noticias más importantes directo a tu WhatsApp




























